Composite Function Worksheet With Answers Pdf

Composite Function Worksheet With Answers Pdf - Show all work for credit. Express each of the following as a combination of the functions above. Show all work for credit. Composite function worksheet evaluate each composite value 1.

Composite Function Worksheet Answers Pdf Function Worksheets

Composite Function Worksheet Answers Pdf Function Worksheets

25 scaffolded questions that start relatively easy and end with some real challenges. Free worksheet (pdf) and answer key on composition of functions. Determine whether [f g](x) is always equal to [g f](x) for two.

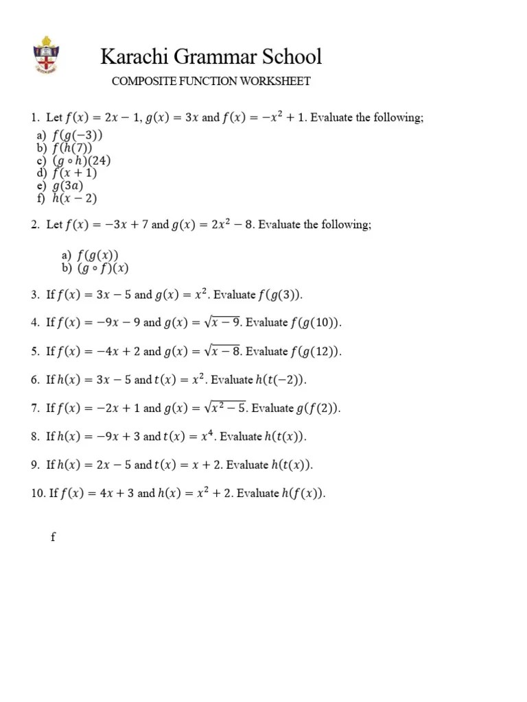
A Composite Function Is One In Which The Output Of One Function Becomes The Input For Another.

If 2f ( x) 33x 5 and g( x) x , find f d g 3 and gd f 2. Use the operations addition, subtraction, multiplication, division and composition. For the given functions f and g , find.

Work Must Be Neat And Answer Must Be Circled.

3) g(x) = x3 + 5x. Explain how iteration is related to composition of functions. Up to 24% cash back tell how you determined f(x) and g(x).

If F ( X) 9X 9 And G ( X) X 9, Find F D G 10 And F D F 2 3.

Answers Composition Of Functions 1) 6 2) −6 3) 4 4).

Composite functions + 11 example: Work must be neat and answer must be circled. The notation is (fd g)(x) or f(g(x)), read f of g of x, where f and g are both.

You Must Find The Domain Of The First Function And The Composite Function.

When finding the domain of composite functions:

Composite Function Worksheet Answers —

Composite Function Worksheet Answers —

Equations with Composite Functions (Worksheet with FULL solutions) Teaching Resources

Equations with Composite Functions (Worksheet with FULL solutions) Teaching Resources

Composite Functions Worksheet Answers

Composite Functions Worksheet Answers

Composite_Function_Worksheet PDF

Composite_Function_Worksheet PDF

Composite Functions Worksheet PDF

Composite Functions Worksheet PDF

Composite Function Worksheet 1 PDF

Composite Function Worksheet 1 PDF

Precalculus Composition Of Functions Worksheet Answers Pdf Function Worksheets

Precalculus Composition Of Functions Worksheet Answers Pdf Function Worksheets

Composite Functions Worksheet with Answers Exercises Algebra Worksheets Library

Composite Functions Worksheet with Answers Exercises Algebra Worksheets Library

Composite Functions Worksheet With Answers Pdf Kuta Function Worksheets

Composite Functions Worksheet With Answers Pdf Kuta Function Worksheets

Composite Function Worksheet Answers Pdf Function Worksheets

Composite Function Worksheet Answers Pdf Function Worksheets

Composite Function Worksheet Answers

Composite Function Worksheet Answers

Composition of Functions Worksheet PDF Worksheets Library

Composition of Functions Worksheet PDF Worksheets Library

Composite Functions Worksheet Answers Proworksheet.my.id

Composite Functions Worksheet Answers Proworksheet.my.id

Composite Function Worksheet Pdf

Composite Function Worksheet Pdf

Composite Functions Worksheet with Answers Exercises Algebra Docsity

Composite Functions Worksheet with Answers Exercises Algebra Docsity